海坦:详细介绍水泵扬程系统和系统特性曲线:
发布时间:2013-6-7 10:52:35 来源:海坦泵业 点击次数:4112
海坦:详细介绍水泵扬程系统和系统特性曲线:
一、 伯努力方程
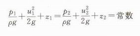
液体是不可压缩流体,其流动服从能量守恒定律。液体流动的机动的机械能以位能、压力能和动能三种形式出现,它们之间可以互相转化。如图2-95 所示,基点1到基点2液体流动的能量平衡关系如下:
.jpg)
式中 P1、P2—基点1、2的压力、Pa:
U1、U2—基点1、2的流速,m/s:
Z1、Z2—基点1、2与基准面间的距离,m;
△ H—基点1~2之间输入的能量,m;
△ H—基点1~2之间输出的能量,;
P—液体密度,kg/m3;
.jpg)
G—重力加速度。G=9.81 m/s2。
此式即为伯努力方程。伯努利方程是液体流动的基本方程。如液体流动中无能量交换(即无能量输入和输出),伯努利方程可表示如下:
.jpg)
二、 系统扬程
泵系统是泵及其附件、吸入管路、排出管路、吸液灌、拍液灌的总称。系统扬程指把单位重量的液体从吸入液体面输送到排出液面所需要的能量,常用符号Η2 表示,单位为m。
系统扬程ΗZ是由几何高度ha(为能)、压力差
(压能)和整个系统管路(泵本身除外)的阻力损失Ηυ三部分组成。
.jpg)
实际扬程或净扬程指吸入液面至排出液面的几何高度 ha=D—h.
三、 系统特性曲线
系统特性曲线也称管路情况一定,即管路吸入排出液面的压力、输液高度、管路长度、管径、管件数目与尺寸,以及阀门开启度等都已给定的情况下,单位重量液体流经该系统时需由外界给予的能量(及系统扬程Ηz)与流量Q之间的关系曲线。.jpg)
该曲线是一条二次抛物线,如图2-97所示。

四、泵的运行工作点
把泵特性曲线Η=f(Q)与系统特性曲线Ηz=f(Q)画在同一张图上,泵特性曲线与系统特性曲线的交点M就是泵运行时的工作点,如图2-97(c)所示,在该点单位重量液体通过泵增加的能量(泵扬程H )正好等于把单位重量液体从吸水池送到排水池液面需要的能量(即系统扬程Hz),故m点是泵稳定的运行点。如果泵偏离M点在A点工作。这时H>Hz,多余的能量促使管内流速增加,泵的流量增加,工作点从A移向M 点。反之,如泵在 B点工作,这时H<Hz,管内流速减慢,泵流量减小,从B点移向M点。*后都要回到M点稳定下来,故泵的稳定点一定是泵特性曲线的交点。但是对有驼峰附近时,一旦偏离,将回不到M点。因此一般不允许采用有驼峰性能曲线的泵。
在产品样本上给出了泵的特性曲线。当泵系统确定之后,可以计算并画出系统特性曲线,从而确定出泵实际的运行工作点。
乐彩汇详解一下系列水泵技术:海坦:教你怎样使用与维修管道离心泵 水泵交付检修前检查确认及操作工作程序 ZCQ磁力驱动离心泵使用前的检测确认 不锈钢离心泵特性曲线测定 自吸离心泵的结构基础知识 不锈钢与铸铁化工离心泵工作原理有什么区别 不锈钢离心泵的工作原理装置 泵实验中测量结果的整理 电机的防爆等级的选择 自吸泵产生原因排出法 海坦:告诉你水泵机械密封泄漏的原因分析和解决方案
