离心泵和叶片泵的基本性能参数
发布时间:2013-3-14 来源:海坦泵业 点击次数:3391
表征叶片泵基本性能的工作参数包括流量、扬程、功率、效率、转速等。现将各参数的物理意义分述如下:
(1)流量
流量是水泵在单位时间内能抽出多少体积或质量的液体,用符号Q表示,单位有L/s、m3/h、t/h等。各单位之间的关系是:IL/S=0.00IM3/3
水泵铭牌上的流量是指设计流量,又称额定流量。水泵在这量下运行时效率*高。
(2)扬程
扬程又称水头,是指被抽送的单位重量液体从水泵进口到出口能量增加的数值。她表征泵本身的性能,只和进、出口处的液体的能量有关,而和抽水装置无直接关系,但是,利用能量方程,可以用抽水装置中液体的能量表示泵的扬程,已符号H表示,单位是mH20(1mH20=9.80 665KPa),习惯上简称m.
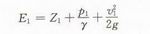
图4-1为卧式离心泵抽水装置简图。若以水泵轴线为基本准面,列出水泵进、出口断面1-1、2-2的能量方程式,
1-1断面单位重量液体的总能量:
.jpg)
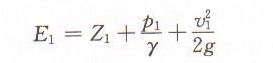
2-2断面单位重量液体的总能量::
![]()
则水泵扬程为
.jpg)
式中:Z1、Z2为真空表测压点、压力表基本准面到泵轴线的距离,低于泵轴线为负值,高于泵轴线为正值,单位为m:
为真空表测压点,压力表基准面的压力水头,单位为m;
为进、出口断面的流速水头,单位为m;
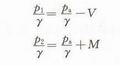
真空表、压力表的读数系相对压力,它与压力(零压以上的压力)的关系为
式中: 为一个大气压,单位为m;
v为真空表读数,即低于一个大气压的数值,单位为m;
m为压力表读数,即超过一个大气压的数值,单位为m;
将式(4-2)、式(4-3)代入式(4-1),得
真空表读数单位一般用KPa(或mmHG)表示,如果将KPa(或mmHG)表示的读数V(或V)换算为mHO读数V,侧。
