机械密封的分类
发布时间:2013-4-18 14:24:22 来源:海坦泵业 点击次数:5444
1推压型和非推压型密封
(1) 推压型密封 指辅助密封沿轴或轴套机械推压来补偿密封面磨损的机械密封,通常就是指弹簧压紧式密封,如图1-8所示。(2)非推压型密封 辅助密封固定在轴上的机械密封,通常为波纹管密封,如图1-9所示。


图1-8 推压型机械密封 图1-9 非推压型机械密封
推压型密封盒非推压型密封特点的比较见表1-11.
表1-11 推压型密封和非推压型密封特点的比较
.jpg)
2.平衡型和非平衡型密封
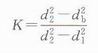
(1) 载荷系数K 载荷系数K是指密封流体压力作用在补偿环上,使之对于非补偿环趋于闭合的有效作用面积与密封环带面积之比。
内装式密封

![]()
外装式密封
中式 d2—密封环带外径:
d1---密封环带的内径:
db---密封的平衡直径,见图1-10图 1-12.

图1-10 内装式平衡型机械密封

图1-11 内装式平衡型机械密封
(2) 端面比压pc 端面比压pc是指作用在密封环带上单位面积上净剩的闭合力。
Pc=pc+(K—λ)
式中 pc—弹簧比压:
λ—反压系数密封端面间流体膜平均压力pm与密封流体压力p的比值,对于水,λ=0.5.
(3)平衡型和非平衡型密封 载荷系数K>1,密封为非平衡型密封,如图1-12所示。
非平衡型密封当压力大于一定的限度,密封面间的液膜就会被挤出。在丧失液膜润滑及高负荷的作用下,密封端会很快损坏,因此非平衡型一般可以用于低压,但对润滑性能差、低沸点、易气化介质及高速工况,即使在低压下,也因选用平衡型密封。
载荷系数K<1,密封为平衡型密封,如图1-11、图1-12所示,平衡型密封能用于各种压力场合。

图1-12 外装式平衡型机械密封
3单密封、无压双密封和有压双密封
(1) 单密封 只有一对摩擦副,结构简单,制造、拆装容易,一般只需设置冲洗冷却系统,不需要外供封液系统。如图1-12所示。
